编辑推荐:
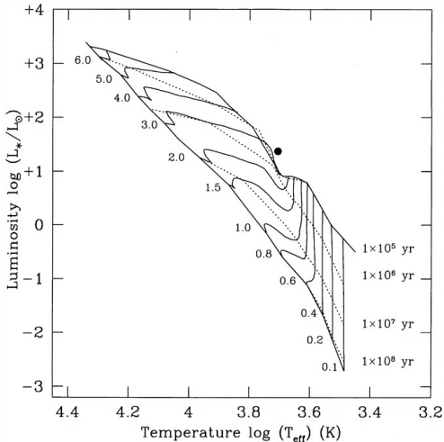
本研究针对猎户座梯形星群中年轻的中质量前主序双星θ1 Ori E,通过长达15年的高分辨率光谱观测,精确测定了其轨道参数、质量比(q=0.9856±0.0047)、有效温度(Teff=5150±200 K)及同步自转状态(v sin i=32±3 km s-1)。结合Spitzer光变曲线,研究人员首次以优于2%的精度确定双星组分质量(M1=2.755±0.043 M⊙, M2=2.720±0.043 M⊙),并推断其年龄≤105年,为检验大质量前主序恒星演化模型提供了关键基准。



生物通 版权所有