编辑推荐:
本研究通过鞋内运动传感器系统(IMS)评估了四种携带方式(无行李、双肩包、单肩包和斜挎包)对健康年轻人步态参数的影响。研究发现不同行李类型会显著改变站立时间、推进时间和步频等时空参数,其中斜挎包导致的不对称性最显著,可能增加膝关节骨关节炎风险。该成果为日常行李选择提供了科学依据,对预防运动损伤具有重要意义。
行走时携带行李是日常生活中再普通不过的行为,但很少有人意识到,这个简单动作背后隐藏着影响健康的科学密码。以往研究多局限于实验室环境,受试者穿着统一服装在有限空间内行走,这样的数据能否反映真实生活场景?更关键的是,不对称的负重方式是否会悄悄改变我们的步态模式,进而埋下膝关节损伤的隐患?这些疑问促使京都大学医学研究科(Graduate School of Medicine, Kyoto University)的Shota Suzuki团队开展了一项突破常规的研究。
研究人员采用革命性的鞋内运动传感器系统(IMS),在接近日常环境的走廊中对26名健康年轻人进行10分钟自然行走监测。这种仅重22克的微型设备能精确记录16项步态参数,包括时空参数(如步频、步行速度)和空间参数(如最大背屈角度)。研究特别比较了无行李、双肩包(BP)、单肩包(SB)和斜挎包(CB)四种状态,所有行李重量统一为3.3kg以排除重量干扰。
关键技术包括:1)使用配备Bosch IMU(BMI160)的IMS系统进行100Hz高频采样;2)通过Sn方法剔除异常数据;3)采用对称指数公式量化左右差异;4)在30米走廊模拟日常行走场景。
方法
研究采用横断面设计,通过IMS系统采集26名受试者在四种负重状态下的步态数据。设备每2分钟激活一次,记录9秒内的三组有效步态数据,自动计算左右侧平均值。统计方法包含Shapiro-Wilk正态检验和Bonferroni事后检验。
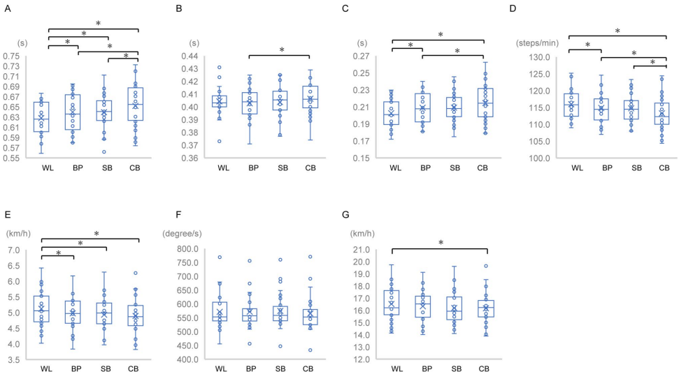
结果
时空参数差异
无行李状态(WL)的站立时间比负重状态短11-15%,其中斜挎包(CB)导致最长站立时间。

不对称性表现
斜挎包在推进时间上的对称指数比其他状态高37%,单肩包使最大摆腿速度不对称性增加29%。

讨论与意义
该研究首次通过自然行走数据证实:1)斜挎包会通过改变躯干前倾角度引发动态不稳定;2)单侧负重导致骨盆旋转是步态不对称的主因;3)双肩包对步态干扰最小。这些发现为临床指导提供了重要依据——长期使用单侧负重方式可能通过不对称负荷增加膝关节骨关节炎风险,而双肩包是更优选择。研究同时验证了IMS系统在真实环境步态评估中的可靠性,为未来大样本人群研究奠定了基础。
局限在于样本局限于年轻群体,且未监测躯干肌肉活动。未来研究可结合表面肌电图进一步探索肌肉代偿机制。论文发表于《Scientific Reports》,为日常健康管理提供了量化依据——选择正确的背包方式,或许能让你在不知不觉中远离关节损伤。
生物通 版权所有