编辑推荐:
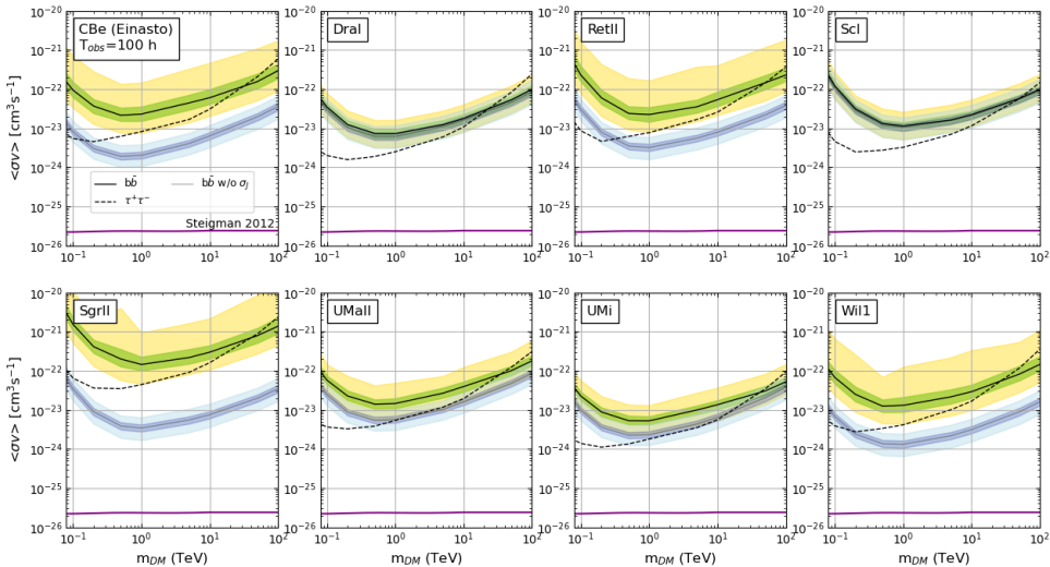
本研究针对暗物质(DM)粒子性质探测难题,利用下一代切伦科夫望远镜阵列(CTAO)对矮球状星系(dSphs)开展间接探测研究。通过CLUMPY代码对8个最优dSphs(如Draco I、Reticulum II等)的暗物质分布进行建模,计算得到Jann和Jdec天体物理因子。研究预测CTAO在600小时联合观测下,对WIMP湮灭截面的探测灵敏度可达〈σv〉~5×10-25 cm3 s-1(TeV质量区),对衰变寿命的灵敏度达τ~1028 s。该研究为TeV以上能区暗物质探测提供了迄今最灵敏的观测策略。



生物通 版权所有