编辑推荐:
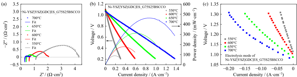
本文推荐一项关于固体氧化物电池(SOC)氧电极材料的前沿研究。为解决中温条件下氧还原反应(ORR)和氧析出反应(OER)动力学缓慢、钴基材料毒性及成本高的问题,研究人员系统探讨了多组分双钙钛矿Gd1-xSmxBa0.5Sr0.5CoCuO5+δ(GSBSCCO)的化学组成与电纺形态调控。结果表明,Gd0.75Sm0.25Ba0.5Sr0.5CoCuO5+δ(G75S25BSCCO)具有优异的结构稳定性、适中的热膨胀系数(TEC)和良好的电催化活性,在800°C下极化电阻(Rp)低至0.086 Ω·cm²。电纺制备的电极在700°C燃料电池模式下功率密度达462 mW·cm−2,电解模式下1.3 V电压下电流密度约0.2 A·cm−2,性能显著提升。该研究为开发高效、稳定的SOC氧电极提供了新思路。



生物通 版权所有