编辑推荐:
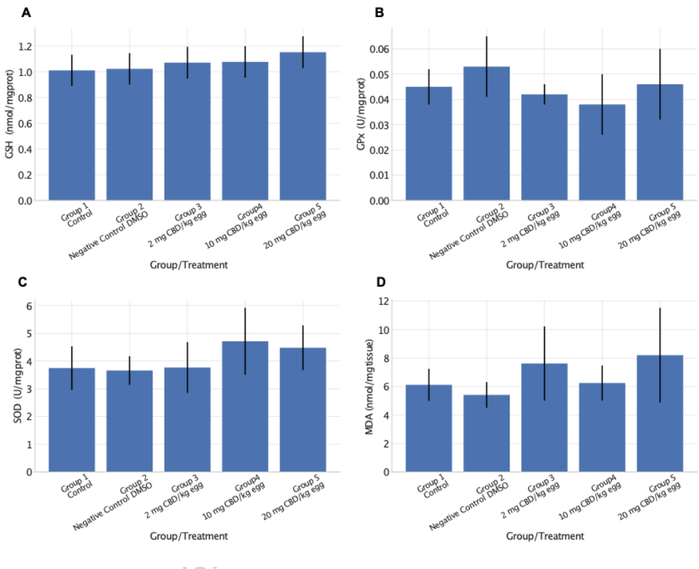
本研究针对大麻二酚(CBD)在胚胎发育中的安全性争议,通过鸡胚模型系统评估其剂量与组织依赖性抗氧化效应。研究人员通过胚胎注射CBD(2、10、20 mg/kg),分析脑、肝、心、骨骼肌及肠道中谷胱甘肽(GSH)、谷胱甘肽过氧化物酶(GPx)、超氧化物歧化酶(SOD)活性及丙二醛(MDA)水平。结果显示,CBD在肝脏和脑中显著增强GPx、SOD活性并降低MDA(肝脏降幅达44%),呈现强抗氧化作用;然而高剂量(20 mg/kg)可诱发心脏氧化应激(MDA上升27%)。该研究首次揭示CBD在胚胎发育中的组织特异性双向调节作用,为CBD的合理用药及胚胎毒性评估提供关键依据。





生物通 版权所有