有機施肥與菌根接種對白巖薔薇生長與次生代謝的季節性影響

时间:2026年2月24日
来源:Journal of Plant Growth Regulation

编辑推荐:

本研究探究了在人工控制條件下,有機施肥和叢枝菌根真菌接種對地中海藥用灌木白巖薔薇(Cistus albidus L.)在一個完整生長週期內的營養生長、開花性狀以及植化成分譜的影響。研究發現,季節變化是調控植物生長和代謝的主導因素,而施肥和接種處理主要通過調節生長和資源分配來發揮作用,其中接種處理雖然限制了生長和繁殖產出,卻提升了秋季葉片提取物的抗氧化能力和特定酚類物質的濃度。該研究為優化藥用植物栽培以提升其活性成分積累提供了關鍵見解。

广告
   X   

在充滿陽光的廣袤地中海地區,生長著一種名為白巖薔薇(Cistus albidus L.)的耐旱灌木。它不僅是當地風景的一部分,更是一種歷史悠久的傳統藥用植物,因其具有潛在的抗炎、抗菌和神經調節活性而備受關注。支撐這些藥用價值的,是其中豐富的次生代謝產物,特別是超過200種已被鑒定的萜類和多酚化合物。隨著人們對其需求的增長,依賴野生採集已難以為繼,推動其人工栽培成為必然。然而,如何通過栽培管理策略來優化其生長和提升具有療效的植化成分,是一個亟待解決的科學問題。
有機施肥和接種叢枝菌根真菌是兩種常見的農業實踐,被認為能促進植物生長或增強其抗逆性。有機施肥旨在提供植物生長所需的營養。而叢枝菌根真菌(Arbuscular Mycorrhizal Fungi, AMF)通常能與植物根系形成共生關係,幫助植物吸收水分和養分(特別是磷),並可能提高植物的抗逆能力。然而,關於AMF接種的效果一直存在爭議:在一些研究中,它促進了植物生長;但在另一些情況下,特別是在共生功能受限或養分條件非限制性的環境中,它可能產生類似脅迫的效應,抑制生長但刺激次生代謝產物的積累。此外,季節變化作為環境壓力的主要來源,深刻影響著植物的生理和代謝。那麼,對於白巖薔薇這類具有重要藥用價值的植物,在有控制的栽培條件下,施肥和菌根接種這兩種措施究竟會如何影響其整個生長週期?它們與強大的季節節律之間又存在怎樣的交互作用?這些問題對於指導其科學栽培至關重要。
為此,研究團隊在西班牙穆爾西亞的一個實驗基地開展了一項為期超過一年的對照研究。他們選取了400株生長趨勢均一的兩年生白巖薔薇植株,並隨機分為四組:對照組、有機施肥組、AMF接種組以及施肥+接種聯合處理組。研究人員在一個完整的營養生長週期內(涵蓋春、夏、秋、冬四個季節),系統地監測了各組植物的葉片形態(如葉面積、比葉面積)、生長參數(株高、莖幹周長、分枝生長)、開花動態以及存活率。同時,他們採集葉片製備水提物,利用超高效液相色譜-質譜聯用技術對其多酚成分進行了精確分析,並測定了總酚含量和抗氧化能力。通過這些綜合分析,旨在明確季節、施肥和接種三因素對白巖薔薇生長和藥用品質相關代謝的相對貢獻,並探討AMF接種在本實驗條件下,究竟是通過促進生長的共生關係,還是通過誘導脅迫相關的生理反應來發揮作用。
研究團隊主要應用了以下幾項關鍵技術方法:首先,建立了包含四個處理組(對照、施肥、接種、施肥+接種)的盆栽對照栽培體系,並在春、夏、秋、冬四個季節進行系統性取樣。其次,使用圖像分析軟件(ImageJ)和精密天平對葉片形態(面積、周長)和生物量(鮮重、乾重)進行了量化。第三,採用福林-酚試劑法測定了葉片水提物的總酚含量(TPC),並通過TEAC(Trolox等效抗氧化能力)法評估了其抗氧化活性。第四,利用超高效液相色譜-質譜聯用(UHPLC-MS)技術對提取物中的多酚類化合物進行了定性和相對定量分析,鑑別出了包括黃烷-3-醇、黃酮醇、酚酸、鞣花單寧和裂環烯醚萜苷等在內的16種主要化合物。最後,運用方差分析、Tukey事後檢驗、Kruskal-Wallis檢驗以及Pearson相關性分析等統計方法,系統評估了處理、季節及其交互作用對各項指標的影響。
結果
葉片
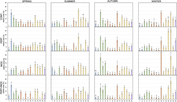
季節進程是葉片性狀表型發育的關鍵影響因素。所有處理組的葉片面積均在春季達到峰值,施肥組的葉片面積最大。接種(無論是否結合施肥)顯著減小了葉片面積和葉片鮮重,並增加了個體間的變異性。施肥則使營養生長更為穩定,減少了個體間差異。比葉面積在春季達到峰值,接種組的平均比葉面積高於對照組和施肥組,表明葉片更薄。葉片指數(葉面積/周長比)的變化模式顯示,從春季到秋季葉片趨於窄化,冬季略有加寬。
開花
所有處理組的初次開花時間基本一致(約在三月中旬),表明開花啟動主要受環境信號(如光週期、溫度)驅動,而非處理措施。在第一年,所有植株的花序產量均較低(平均少於2個/株)。到了第二年,花序產量大幅增加,對照組最高,施肥組次之,而兩個接種組(無論是否施肥)的花序產量均顯著降低。施肥使植株的生長更為均一,並略微提前了開花時間。相關性分析表明,施肥和接種均與累積花序產量呈負相關,其中接種的負相關更為明顯。
生長參數
施肥促進了更均一和伸長的枝條生長,並在第二年顯著增加了主幹周長。相比之下,接種抑制了主枝和側枝的生長,並減少了節點(葉片層級)數量。各處理組之間的最大株高無顯著差異,這主要是因為接種植株的側枝在靠近主枝頂端的位置發育,而對照組和施肥組的側枝則在更靠下的位置發育。在存活率方面,接種組的植株在第二個夏季的存活率(INOC: 28%, FERT+INOC: 40%)顯著低於對照組(52%)和施肥組(60%)。
總酚含量與抗氧化能力
總酚含量(TPC)在夏季和冬季最高,表明高低溫均能刺激多酚的生物合成。從年度平均來看,接種組的TPC最高,其次是施肥+接種組,對照組和施肥組的TPC相近且最低。抗氧化能力(TEAC)的結果趨勢類似,兩個接種組(無論是否施肥)的抗氧化能力在整個年度,尤其是在秋季,顯著高於對照組和施肥組。然而,總酚含量與抗氧化能力之間僅存在微弱關聯,這反映了個體化合物可能具有相反的季節變化軌跡,突出了代謝物基質水平組織的重要性,而非單純的總量積累。
提取物成分分析
通過UHPLC-MS分析,從葉片水提物中鑑定出16種主要多酚類化合物,分屬黃烷-3-醇、黃酮醇、酚酸、鞣花單寧和裂環烯醚萜苷。分析發現,季節(收穫時間)是調控絕大多數化合物含量的主導因素。例如,黃烷-3-醇(如原飛燕草素B2-3’-O-沒食子酸酯)和部分鞣花單寧(如石榴皮鞣素、特弗拉文B)的含量隨著生長週期推進而顯著下降;而酚酸(如沒食子酰奎寧酸、香豆酰奎寧酸)和另一部分鞣花單寧(如鞣花酸-7-木糖苷)以及裂環烯醚萜苷(木脂素衍生物)的含量則顯著增加。相比之下,處理措施(施肥或接種)對大多數個體化合物的影響較小且不顯著,僅對咖啡酰已糖和pedunculagin(一種鞣花單寧)的含量有顯著影響。接種處理增加了代謝組成的變異性。
植化物質與死亡率相關性
相關性分析發現,植物死亡率與總酚含量或抗氧化能力無顯著關聯,但與多種特定多酚的含量顯著相關。脫水tergalloyl C-葡萄糖苷、原飛燕草素B2-3’O-沒食子酸酯和楊梅素已糖苷與植株存活率呈強正相關;而槲皮素葡萄糖苷和鞣花酸-7-木糖苷則與植株死亡呈顯著正相關。這提示某些特定的次生代謝物可能作為植物生理狀態或脅迫反應的標誌物。
討論與結論
本研究系統揭示了季節變化、有機施肥和AMF接種對白巖薔薇生長和次生代謝的複雜調控網絡。季節進程是無可爭議的主導因素,它強有力地控制著葉片形態、開花動態以及幾乎所有被檢測的個體次生代謝物的時間性組織。這與地中海氣候下植物的適應性策略一致,即通過調整生理和代謝來應對環境的週期性變化。
有機施肥的主要作用是穩定營養生長、減少個體間變異性,並在第二年促進了更均勻的株型和更粗的主幹。它對植物化學組成的影響相對有限,這可能與實驗條件下養分非限制性有關。
最引人注目的發現來自AMF接種處理。與通常預期的促進生長不同,本研究中使用的RhizophagusGlomus屬真菌混合接種劑,對白巖薔薇產生了持續的生長限制:減小了葉面積和生物量,降低了繁殖產出(花序數),並增加了表型和代謝的變異性。同時,接種處理顯著提升了葉片提取物的抗氧化能力,並在秋季增加了特定酚類化合物(如咖啡酰已糖)的濃度。這種“生長抑制但代謝增強”的模式,與在功能性共生受限或養分充足條件下,AMF接種可能誘導類似脅迫反應的觀點相符。接種可能觸發了植物的早期信號事件或根際介導的生理調整,導致資源從生長向防禦相關的次生代謝物合成重新分配。
植化物質的調控具有類別特異性。黃烷-3-醇和黃酮醇表現出高度的季節可塑性和對接種的環境依賴性響應;而酚酸、鞣花單寧和裂環烯醚萜苷則主要受收穫時間和發育階段的調控。這表明不同代謝途徑對環境和生物因子的敏感性不同。總酚含量與抗氧化能力的弱關聯再次強調,植物的抗氧化潛力不僅取決於酚類物質的總量,更取決於其具體的組成和協同作用。
綜上所述,這項研究發表在《Journal of Plant Growth Regulation》,它表明在可控栽培條件下,栽培措施(施肥和接種)主要通過調節生長節奏和發育資源分配來影響白巖薔薇,而其次生代謝則是在強大的季節框架內進行選擇性重組。AMF接種在本實驗條件下更類似一種“生態調製器”,而非傳統的“生長促進劑”,它誘導了生長-防禦-信號權衡的重新配置。這為理解藥用植物在集約化栽培中的生理生態響應提供了概念基礎。從應用角度來看,如果栽培目標是最大化生物量,那麼有機施肥是更優選擇;而如果目標是提升葉片的抗氧化能力和特定酚類物質(可能與藥效相關)的積累,那麼AMF接種(特別是在秋季收穫)可能具有潛在價值,儘管這需要以犧牲一定生長和存活率為代價。未來研究需要進一步評估不同AMF菌種、接種策略以及與水分脅迫等環境因子互作下的效果,以優化白巖薔薇的可持續栽培與藥用品質提升方案。

生物通微信公众号
微信
新浪微博


生物通 版权所有