编辑推荐:
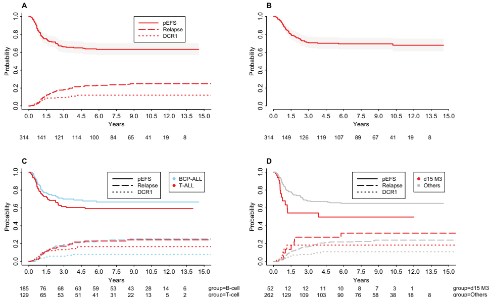
本研究针对高危急性淋巴细胞白血病(HR-ALL)患者首次缓解期生存率低的临床难题,通过NOPHO ALL2008多中心临床试验评估强化化疗方案疗效。结果显示314例HR-ALL患者5年无事件生存率(EFS)达64%,总体生存率(OS)70%,首次实现将KMT2A重排和低二倍体等传统高危亚组的EFS提升至74%和67%。该方案通过动态微小残留病(MRD)监测精准分层,为高危ALL治疗策略优化提供重要循证依据。

生物通微信公众号
生物通 版权所有