编辑推荐:
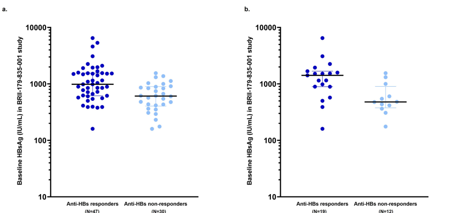
本研究针对慢性乙肝功能性治愈率低的临床难题,通过部分随机、开放标签的II期临床试验,评估了siRNA药物elebsiran联合聚乙二醇干扰素α(PEG-IFNα)的疗效。结果显示,联合治疗组HBsAg清除率显著高于PEG-IFNα单药治疗(33.3% vs 5.6%),且BRII-179治疗疫苗应答者获得42.1%的持续HBsAg清除率。该研究为慢性乙肝的个体化治疗提供了新的联合方案和免疫学筛选策略。



生物通微信公众号
生物通 版权所有