编辑推荐:
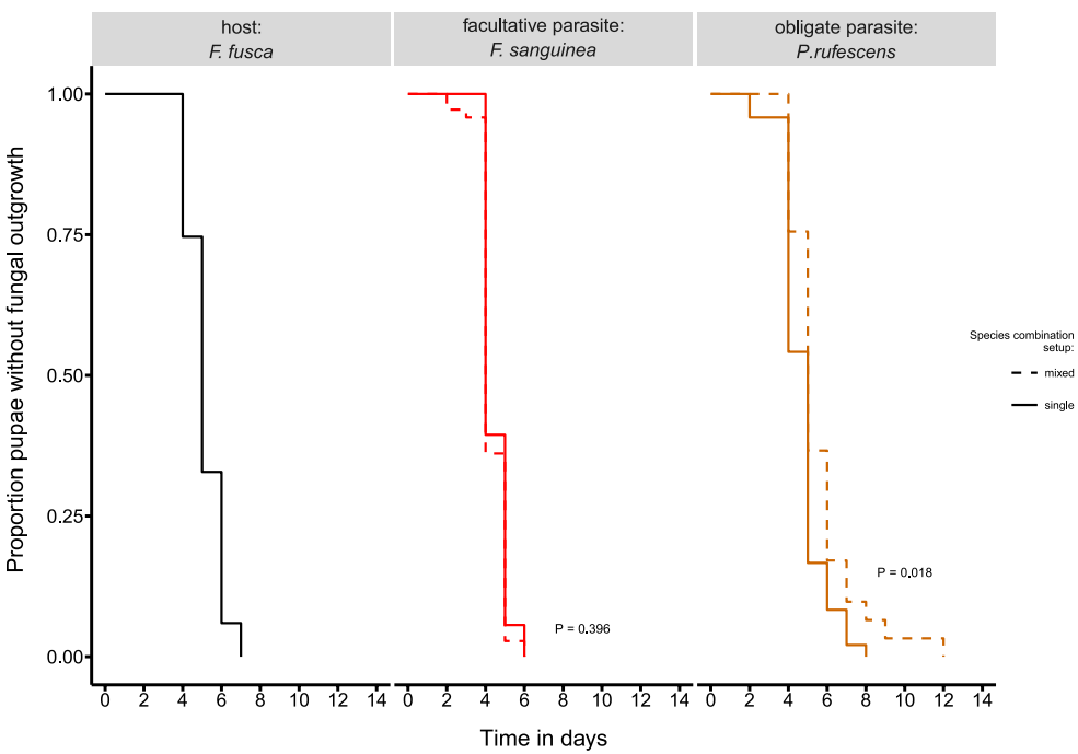
本研究针对社会寄生蚂蚁在免疫防御策略上的演化机制展开探讨。研究人员通过比较专性寄生蚁Polyergus rufescens、兼性寄生蚁Formica sanguinea及其共同宿主Formica fusca对真菌病原体Metarhizium pingshaense的防御行为,发现寄生蚁通过剥削宿主免疫服务并调整自身防御投入来适应寄生生活史。实验表明P. rufescens完全丧失育幼护理能力而依赖宿主,F. sanguinea则保留条件性防御能力(如酸孔 grooming),揭示了社会寄生生活史驱动免疫防御性状演化的新机制。





生物通 版权所有